![]() |
ECE532 Biomedical Optics © 1998 Steven L. Jacques, Scott A. Prahl Oregon Graduate Institute |
A light source may be modulated sinusoidally to yield a sinusoidally varying fluence rate distribution at a distant observation point within a medium. Such a modulated concentration will propagate in the medium and is often called a photon density wave. Consider a modulated isotropic point source of light within a homogenous turbid medium with no boundaries.
The point source S has a steady-state power So [W] which is modulated sinusoidally by a modulation factor Mosin(ωt), where 0 < Mo < 1:

where ω = 2πf [radians/s] is the angular frequency of modulation, and the modulation frequency f is in hertz [cycles/s]. The position of observation r is located a distance r from the source. The above equation shows two ways to express S(t), one using a sine function and the other using the equivalent and well-known convention of an exponential with an imaginary exponent.
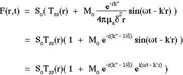
In response to this modulated source, the modulated fluence rate F(r,t) at r is described:

where Tss(r) is the steady-state transport, k" is the imaginary wavenumber that describes the attenuation of the photon density wave, and k' is the real wavenumber that describes the phase lag of the observed photon density wave.
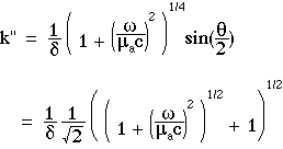
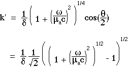
The expressions for Tss(r), k" and k' are:



where
The behavior of k' and k" are shown in the following figure which plots k'δ and k"δ as functions of ω/(µac):
The above expressions are equivalent to the expressions published by Schmitt et al. 1992 which in turn are equivalent to the expressions published by Fishkin et al. 1991,1993. Link to references..
At the observation point, the persistence of the source modulation is called the modulation, M, and is often described in the literature as (ACout/DCout)/(ACin/DCin) which equals:
At the observation point, the phase of the signal lags the phase of the source by an angle called the phase, φ [radians], which equals:
The ratio ω/(µac) describes the number of radians of modulation cycle that occur in one mean photon lifetime. Only 1/e or 37% of photons survive after a time period of 1/(µac) [s]. θ is an angle specified by the ratio ω/(µac), and approaches zero for low modulation frequencies and approaches 90° at the highest modulation frequencies, ω >> µac.